在无人机应用场景日益丰富的今天,四旋翼无人机(QUAV)的精准控制与集群协同始终是行业难题——欠驱动特性易受干扰、复杂轨迹跟踪精度不足、多机编队稳定性差,这些痛点长期制约着无人机在环境监测、应急救援等领域的落地效果。近期,Ghulam E. Mustafa Abro与Ayman M. Abdallah团队发表的《Swarm Coordination and Trajectory Tracking in Quadrotor UAVs Using Fractional-Order PID Control Strategy》一文,提出了基于分数阶PID(FOPID)的全新控制策略,一举解决了单机高精度轨迹跟踪与集群稳定协同的双重难题,为下一代无人机控制技术提供了全新思路。
论文信息
题目: Swarm Coordination and Trajectory Tracking in Quadrotor UAVs Using Fractional-Order PID Control Strategy
基于分数阶PID控制策略的四旋翼无人机集群协同与轨迹跟踪
作者: Ghulam E. Mustafa Abro, Ayman M. Abdallah
一、核心痛点:传统控制方法的"力不从心"
四旋翼无人机的欠驱动特性,使其在复杂环境下的轨迹跟踪和集群协同面临诸多挑战:传统PID控制器易出现超调、振荡,面对外部干扰时轨迹偏离明显;积分状态反馈算法(ISFA)对未建模动态敏感,难以稳定跟踪复杂轨迹;而多数控制方法要么聚焦单机控制,要么专攻集群编队,难以兼顾两者的统一调度。
想要让无人机既精准完成单机复杂螺旋轨迹飞行,又能实现多机圆形编队的稳定协同,必须突破传统控制框架的局限——这也正是该论文的核心突破方向。
二、四大创新:FOPID重塑无人机控制逻辑
该研究的核心创新在于将分数阶PID控制器与去中心化非线性编队策略深度融合,构建了一套兼顾单机与集群的统一控制框架,具体创新点可总结为四点:
1. 分数阶PID控制器:给控制加"灵活度buff"
不同于传统PID仅依靠比例、积分、微分三个整数阶参数调节,FOPID引入了分数阶微积分算子(α, β),额外增加了两个调节维度。这一设计让控制器能更精细地适配无人机的动态特性,有效降低超调量、减小稳态误差,即便面对外部干扰和参数扰动,也能保持稳定的控制响应。
2. 统一控制框架:单机+集群"一把抓"
研究创新性地将FOPID与去中心化非线性编队控制策略结合,既解决了单架无人机的复杂螺旋轨迹跟踪问题,又通过共识算法实现了多机圆形编队的生成与稳定协同,打破了传统方法"单机"与"集群"割裂处理的局面。

3. 跨平台验证:从仿真到硬件的全面落地
研究不仅完成了MATLAB/Simulink仿真验证,还在鲲航(Quanser) QDrone无人机平台上完成了硬件实验。跨平台的验证方式,充分证明了该控制策略的可扩展性和实际应用潜力,为技术落地扫清了硬件适配障碍。


由12个OptiTrack Prime-13相机组成的高精度运动捕捉环境,为闭环控制验证提供精准位置反馈
4. 全维度对比:FOPID性能"全面碾压"
研究对FOPID、传统PID、ISFA三种控制器进行了瞬态响应(上升时间、调节时间)、稳态误差、超调量、抗干扰能力等多维度对比,数据证明FOPID在跟踪精度、响应平滑性和抗干扰性上均显著优于传统方法。
三、实验结果:眼见为实的精准控制
理论创新最终要靠实验验证,该研究通过仿真+硬件双重测试,直观展现了FOPID的优越性能:
1. 单机螺旋轨迹跟踪:告别"跑偏"
在引入正弦干扰的仿真环境中,不同控制器的表现差异一目了然:
ISFA控制器:无人机在78.9秒内频繁偏离螺旋轨迹,滚转、俯仰、偏航角度难以稳定(下图);

ISFA控制器下无人机螺旋轨迹跟踪效果,可见明显的轨迹偏离
传统PID控制器:32.03秒时偏离轨迹,64.96秒短暂回归后再次偏离,直至86.99秒才到达终点(下图);

传统PID控制器下无人机螺旋轨迹跟踪效果,轨迹稳定性仍有明显不足
FOPID控制器:从0秒到97秒全程精准跟踪螺旋轨迹,无偏离、无振荡,完美抵消外部扰动和未建模动态的影响(下图);

FOPID控制器下无人机螺旋轨迹跟踪效果,全程精准无偏离
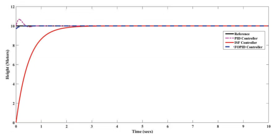
2. 阶跃响应测试:更快、更稳、更鲁棒
在10米高度悬停的阶跃响应测试中,FOPID的优势同样显著:相比PID和ISFA,FOPID的上升时间和调节时间更短,超调量更低,稳态误差控制更优,充分体现了其在瞬态和稳态性能上的双重优势(下图)。

FOPID、PID、ISFA控制器阶跃响应对比,FOPID响应速度和稳定性均领先
3. 集群圆形编队:多机协同"零误差"
在多机圆形编队实验中,基于FOPID的去中心化编队控制策略,让多架无人机能够精准保持相位角和距离,形成稳定的圆形编队。通过李雅普诺夫稳定性分析验证,该系统能全局渐近收敛到目标状态,即便面对外部干扰,也能快速恢复编队形态,实现了多机协同的高精度、高稳定性。
四、落地价值:从实验室到真实应用
该研究的价值不仅在于理论创新,更在于其极强的落地潜力:
环境监测:精准的轨迹跟踪和集群协同能力,让无人机群可高效完成大范围、高精度的环境监测任务;
应急救援:复杂环境下的抗干扰特性,确保无人机在搜救、物资投送等任务中稳定可靠;
跨平台适配:在鲲航(Quanser) QDrone上的验证,证明该算法可适配不同商用无人机平台,降低了技术落地的硬件门槛。
五、总结:分数阶PID开启无人机控制新篇章
这篇论文的核心贡献,在于将分数阶控制理论与无人机集群协同深度结合,既解决了单机复杂轨迹跟踪的精度问题,又突破了集群编队的稳定性瓶颈。相比传统控制方法,FOPID凭借更高的灵活性、鲁棒性和适配性,为四旋翼无人机的控制技术提供了全新范式。
从仿真到硬件,从单机到集群,从螺旋轨迹到圆形编队,该研究用全方位的验证证明了FOPID控制策略的有效性——未来,随着这一技术的进一步优化和落地,四旋翼无人机集群将真正实现"指哪飞哪",在更多复杂场景中发挥价值。


沪公网安备 31011202011813号